MYCZ型标准化工泵

化工泵 115

MYCZ化工泵,化工离心泵,纸浆泵

一、MYCZ型系列标准化工泵产品概述

TMCZ型系列标准化工泵卧式、单级、单吸式离心泵;其尺寸和性能符合DIN24256/ISO2858标准

TMCZ型系列标准化工泵的性能范围包括了IH系列标准化工泵所有性能,其效率、汽蚀性能等指标均超过IH型泵

输送低温或高温液体:中性或有腐蚀性液体,清洁或内含有固体颗粒的液体。


二、MYCZ型系列标准化工泵产品技术特点

普及性高

性能稳定

不锈钢材质有304,316L,CD-4Mcu,904,904L,哈氏合金等

密度范围:P=1.0~1.84×103kg/m3

介质温度:-20℃∽+180℃范围之间;

系统工作压力:≤1.6MPa

流量:3.4∽460m3/h 

扬程:H3.6∽132m

 

三、TMYCZ型系列标准化工泵产品用途

TMCZ型系列标准化工泵适于化工、石油、石油化工、冶金、轻工、印染、制药、环保、海水淡化、海上采油、造纸、食品等工业部门输送不含固体颗粒的有机或无机化工介质、石油产品及腐蚀性的液体。


四、MYCZ型系列标准化工泵型号意义

MYCZ 80-65-160  MYCZ国际标准化工泵  80代表进口直径mm)  65代表出口直径mm)   160代表叶轮名义直径(mm)


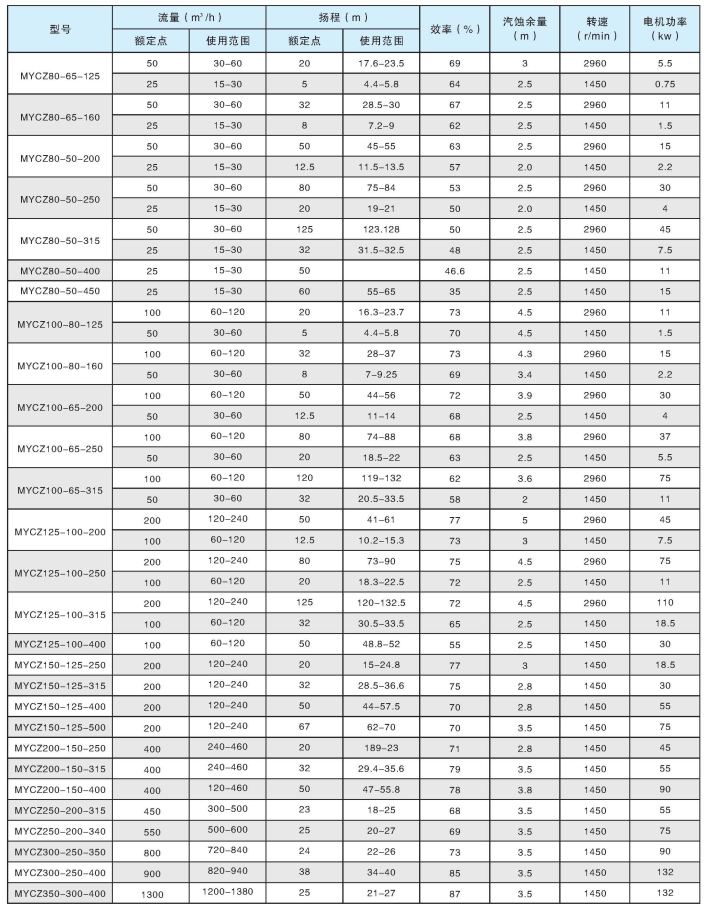
五、MYCZ型系列标准化工泵选型技术参数

MYCZ化工泵,化工离心泵,纸浆泵

MYCZ化工泵,化工离心泵,纸浆泵

评论留言

我要留言

◎欢迎参与讨论,请在这里发表您的看法、交流您的观点。